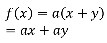
다음과 같은 여러 줄에 걸친 수식을 입력한다고 할 때 '=' 기호에 맞게(혹은 원하는 다른 기호에) 수식을 정렬하는 방법이다.
이때 수식들은 Shift + Enter를 통한 줄바꿈으로 작성되어야 한다.

기호의 왼편에 커서를 두고 우클릭한다.
Math Options > Align at this Character 선택. 마찬가지로 다른 줄의 기호에 대해서도 선택해준다.

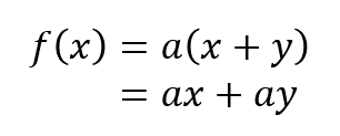
선택한 기호에 대해서 잘 정렬된 모습이다.

'Other SW > Microsoft365' 카테고리의 다른 글
| [Powerpoint] 그림을 자유로운 모양으로 자르기 (0) | 2025.11.03 |
|---|